Участок под объекты ОДЗ на 1 линии Дороги Жизни у посёлка Ковалёво
Внимание! Данный объект снят с продажи!
фото
документы
Земельный участок площадью 7.25 га под размещение объектов общественно-деловой застройки на 1 линии Дороги Жизни (Рябовское шоссе) у посёлка Ковалёво.
Расположение
Всеволожский район, город Всеволожск, посёлок Ковалёво, 1 линия Дороги Жизни (Рябовское шоссе)
- 2.7 км от ближайшей развязки КАД
- 3.5 км от Всеволожска и гипермаркета «Лента»
- 10 км от стпнции метро «Ладожская»
Правовая характеристика
Площадь участка – 72 500 м2
Категория: земли сельскохозяйственного назначения
Разрешённое использование: для сельскохозяйственного использования
Вид права: собственность
Соответствие расположения ЗУ Генеральному плану и ПЗЗ Всеволожска
В соответствии с материалами:
- территориального планирования Всеволожского МО
- генерального плана МО «Город Всеволожск»
- ПЗЗ МО «Город Всеволожск»
для земельного участка установлены:
- функциональная зона генерального плана – Д1
- зона многофункциональной общественно-деловой застройки
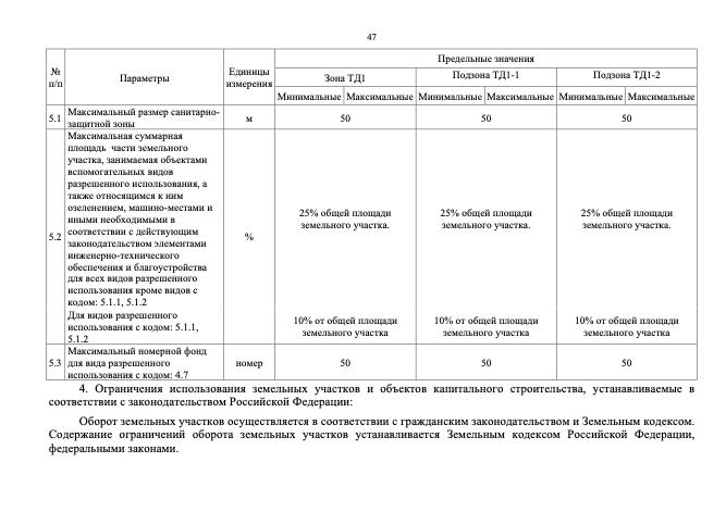
- территориальная зона ПЗЗ – ТД1
- зона многофункциональной общественно-деловой застройки
В числе основных ВРИ ЗУ:
- бытовое обслуживание (код 3.3)
- объекты торговли (код 4.2)
- торговые центры
- торгово-развлекательные центры (комплексы)
- рынки (код 4.4)
- общественное питание (код 4.6)
- гостиничное обслуживание (код 4.7)
- обеспечение занятий спортом в помещениях (код 5.1.2)
- т.д.
Использование земельного участка под размещение объектов, разрешённых градостроительным регламентом территориальной зоны ТД-1 возможно при условии изменения существующего ВРИ ЗУ на соответствующий вид.
Особенности
- участок расположен вдоль автодороги Санкт-Петербург – Морье (Рябовское шоссе)
- 1 линия Дороги Жизни (Рябовское шоссе) – в направление из Санкт-Петербурга
- четырёхполосное движение
- высокий автомобильный трафик
- удобный заезд на участок
- рельеф участка – ровный
- напротив участка (через Дорогу Жизни) – мемориалы «Детям – юным героям Ленинграда», «Цветок жизни», «Аллея Дружбы», Курган «Дневник Тани Савичевой»:
- зоны охраны памятников на участок не распространяются
- в 55 м от юго-восточной границы участка – Ковалёвское кладбище
Возможности обеспечения инженерными коммуникациями
- электроснабжение
- от проектируемой КТП №2
- от КТП №3 6/0,4 кВ в посёлке Ковалево
- водоснабжение
- организация скважины на участке
- водоотведение
- организация локальной канализации
Предоставление дополнительной информации, организация ереговоров – по официальной заявке
Стоимость210 млн. руб пересчитать в: долл евро |
Внимание! Здесь указана ориентировочная цена и параметры объекта. Пожалуйста, уточняйте информацию по телефону, e-mail или через форму обратной связи. |
Документы
Расстояние до Санкт-Петербурга
3 км. (указано расстояние до КАД Санкт-Петербурга по прямой).

















