Участок со зданиями в зоне ТД 1-1, с ГПЗУ, на Пироговской набережной
Внимание! Данный объект снят с продажи!
фото
документы
Объект снят с продажи по причине принятия собственником решения о самостоятельном строительстве.
Земельный участок площадью 5076 м2 под размещение объектов делового назначения на Пироговской набережной
Расположение
Санкт-Петербург, Выборгский район, Пироговская набережная, дом 17, корпус 4, литера А
Правовая характеристика
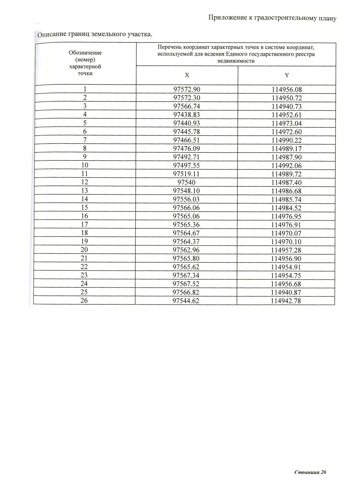
I. Земельный участок
Площадь – 5 076 м2
Категория: земли населённых пунктов
Разрешённое использование:
- по документу – для размещения коммерческих объектов, не связанных с проживанием населения:
- бизнес-центров
- отдельных офисов различных фирм, компаний и других
- т.д.
- для размещения объектов делового назначения, в том числе офисных центров – по ПЗЗ
Вид права: собственность юридического лица
Обременения
- объединённая зона регулирования застройки центральных районов Санкт-Петербурга
- вид – ОЗРЗ-2(36)
- площадь – 5 076 м2
- охранная зона водопроводных сетей
- площадь – 2 м2
ЗОУИТ
Земельный участок расположен:
- в охранной зоне водопроводных сетей – частично
- в водоохранной зоне водного объекта – полностью
- на территории предварительных археологических разведок ЗА 2 – частично
- частично – в зоне с особыми условиями использования территории, установленными в области использования воздушного пространства:
-
- приаэродромная территория аэродромов Пулково, Левашово, Горелово, Горская
- расстояние более 15 км от контрольных точек аэродромов
-
- в зоне охраны ОКН – на территории ОКН федерального значения «Особняк и заводоуправление Механического завода «Людвиг Нобель» с зимним садом» (памятник)
- адрес: Пироговская набережная, 19, лит А
- «Особняк и заводоуправление лесопильного завода и льноджутовой мануфактуры Лебедева Д.Н.»
- адрес: Пироговская набережная, 17
В непосредственной близости от территории ЗУ расположены ценные элементы планировочной структуры Санкт-Петербурга – Пироговская наб.
Охраняются:
- трассировка
- сохранившиеся исторические линии застройки
- аллейные посадки и озеленение
Ограничения
1. Специальные ограничения, связанные с расположением ЗУ в зоне предварительных археологических раскопок ЗА 2
Работы:
- по углублению в грунт более 0.5 м (в том числе новое строительство, реконструкция и капитальный ремонт)
- по прокладке и ремонту инженерных (дренажных) коммуникаций и сооружений, предполагающих выемку грунта
- по инженерным изысканиям
- по благоустройству территории
проводятся только при условии проведения предварительных археологических разведок, обеспечивающих выявление объектов археологического наследия на территории производства работ.
Решение об исключении необходимости проведения предварительных археологических разведок в ЗА 2 принимается в соответствии с заключением государственного органа охраны ОКН (КГИОП).
2. Ограничения, связанные с расположением ЗУ в зоне водопроводных сетей
Площадь охранной зоны сетей, налегающая на ЗУ, – 2 м2.
Строительство в охранной зоне сетей инженерных коммуникаций или вынос сетей – по согласованию с владельцами этих сетей.
3. Ограничения, связанные с расположением ЗУ в водоохранной зоне
Использование ЗУ ограничивается в соответствие с положениями статьи 65 Водного кодекса РФ.
4. Ограничения, связанные с расположением ЗУ на территории ОКН
Часть ЗУ в северной его части попадает в границы территории ОКН федерального значения «Особняк и заводоуправление Механического завода «Людвиг Нобель» с зимним садом» (памятник).
В границах территории памятника запрещается:
- строительство ОКС
- увеличение объёмно-пространственных характеристик ОКС, существующих на территории памятника
- проведение земляных, стрроителььных, мелиоративнх и иных работ
Соответствие Генеральному плану и ПЗЗ
- функциональная зона Генерального плана – Д
- территориальная зона ПЗЗ – ТД 1-1:
- общественно-деловая подзона объектов многофункциональной общественно-деловой застройки и жилых домов, расположенных на территории исторически сложившихся районов Санкт-Петербурга с включением объектов инженерной инфраструктуры
В составе основных ВРИ ЗУ, в частности, следующие виды использования:
- среднеэтажная жилая застройка
- многоэтажная жилая застройка (высотная застройка)
- деловое управление
- объекты торговли:
- торговые центры
- торгово-развлекательные центры (комплексы)
- рынки
- магазины
- гостиничное обслуживание
- развлечения
- обслуживание транспорта
- спорт
Максимальная разрешённая высота зданий и сооружений – 28/33 м.
Строительство/реконструкция зданий, строений и сооружений, допускаемых установленными режимами использования ЗУ, осуществляются после положительного заключения государственного органа охраны ОКН (КГИОП).
II. Объекты капитального строительства на участке
На участке расположены 3 здания (ОКС) и 2 сооружения. Здания подлежат сносу. Автомойка действующая. На условиях аренды ЗУ, Приносит доход собственнику объекта.
Вид права: все здания в собственности юридического лица
Состав зданий
- здание
- площадь – 26.8 м2
- количество этаже, в том числе подземных этажей – 1
- год постройки – 1962
- здание
- столовая, насосная
- площадь – 3 418.8 м2
- количество этаже, в том числе подземных этажей – 4
- год постройки – 1940
- здание
- насосная ГСМ
- количество этажей, в том числе подземных этажей – 1
- площадь – 98.3 м2
- год постройки – 1962
III. Технические условия технологического присоединения
ТУ ГУП «Водоканал Санкт-Петербурга» – от 08.02.2018
- водоснабжение
- максимальная подключаемая нагрузка общим расходом 2.083 м3/час (0.5 м3/сут.
- водоотведение
- максимальная подключаемая нагрузка общим расходом 2.083 м3/час (0.5 м3/сут.
Срок действия ТУ – 3 года.
Предоставление иной дополнительной информации, организация осмотра и переговоров – по официальной заявке
Стоимость420 млн. руб пересчитать в: долл евро |
Внимание! Здесь указана ориентировочная цена и параметры объекта. Пожалуйста, уточняйте информацию по телефону, e-mail или через форму обратной связи. |





























